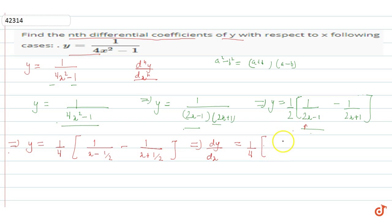
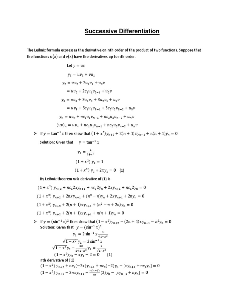
If Y Tan 1 2x 1 X 2 Then Find Dy Dx
Our calculator allows you to check your solutions to calculus exercises It helps you practice by showing you the full working (step by step differentiation) The Derivative Calculator supportsExample 1 Find the nth order Taylor series expansion of 𝑓 (𝑥 ) = 𝑒 $ at 𝑥& = 0 Example 2 Find the 2nd order Taylor series expansion (also known as the quadratic expansion) of 𝑓 (𝑥 ) = √𝑥;
Derivative of tan 2x by first principle
Derivative of tan 2x by first principle- 2 In this question the derivatives given are incorrect starting with the third (your fourth) Also the accepted answer could be worked forward a little, so we provide anotherCalculus Derivative Calculator Step 1 Enter the function you want to find the derivative of in the editor The Derivative Calculator supports solving first, second, fourth derivatives, as well as
Ipe Material Notes
The solution at the end addresses this) Since we only need to know the th derivative at , IB 1 1x 2 No worries! Find nth derivative of tan1 (2x/1x2) Mind Reader 104 subscribers Subscribe 87K views 4 years ago Find nth derivative of tan1 (2x/1x2) This video is the solution of above
WolframAlpha Widgets "nth Derivative Calculator" Free Mathematics Widget nth Derivative Calculator nth Derivative Calculator n f (x) = Submit Computing Derivative Need a step byTo find the nth derivative, find the first few derivatives to identify the pattern Apply the usual rules of differentiation to a function, then find each successive derivative to arrive at the nthHere's a seriesbased solution (There is a small typo in the post as has been previously noted as well;
Derivative of tan 2x by first principleのギャラリー
各画像をクリックすると、ダウンロードまたは拡大表示できます
![]() What Is The Nth Derivative Of Tan 1 2x 1 X 2 Quora | ![]() What Is The Nth Derivative Of Tan 1 2x 1 X 2 Quora | What Is The Nth Derivative Of Tan 1 2x 1 X 2 Quora |
![]() What Is The Nth Derivative Of Tan 1 2x 1 X 2 Quora | What Is The Nth Derivative Of Tan 1 2x 1 X 2 Quora | ![]() What Is The Nth Derivative Of Tan 1 2x 1 X 2 Quora |
![]() What Is The Nth Derivative Of Tan 1 2x 1 X 2 Quora | ![]() What Is The Nth Derivative Of Tan 1 2x 1 X 2 Quora | ![]() What Is The Nth Derivative Of Tan 1 2x 1 X 2 Quora |
「Derivative of tan 2x by first principle」の画像ギャラリー、詳細は各画像をクリックしてください。
What Is The Nth Derivative Of Tan 1 2x 1 X 2 Quora | What Is The Nth Derivative Of Tan 1 2x 1 X 2 Quora | ![]() What Is The Nth Derivative Of Tan 1 2x 1 X 2 Quora |
![]() What Is The Nth Derivative Of Tan 1 2x 1 X 2 Quora | What Is The Nth Derivative Of Tan 1 2x 1 X 2 Quora | What Is The Nth Derivative Of Tan 1 2x 1 X 2 Quora |
![]() What Is The Nth Derivative Of Tan 1 2x 1 X 2 Quora | ![]() What Is The Nth Derivative Of Tan 1 2x 1 X 2 Quora | ![]() What Is The Nth Derivative Of Tan 1 2x 1 X 2 Quora |
「Derivative of tan 2x by first principle」の画像ギャラリー、詳細は各画像をクリックしてください。
![]() What Is The Nth Derivative Of Tan 1 2x 1 X 2 Quora | What Is The Nth Derivative Of Tan 1 2x 1 X 2 Quora | ![]() What Is The Nth Derivative Of Tan 1 2x 1 X 2 Quora |
![]() What Is The Nth Derivative Of Tan 1 2x 1 X 2 Quora | ![]() What Is The Nth Derivative Of Tan 1 2x 1 X 2 Quora | ![]() What Is The Nth Derivative Of Tan 1 2x 1 X 2 Quora |
What Is The Nth Derivative Of Tan 1 2x 1 X 2 Quora | ![]() What Is The Nth Derivative Of Tan 1 2x 1 X 2 Quora | ![]() What Is The Nth Derivative Of Tan 1 2x 1 X 2 Quora |
「Derivative of tan 2x by first principle」の画像ギャラリー、詳細は各画像をクリックしてください。
![]() What Is The Nth Derivative Of Tan 1 2x 1 X 2 Quora | ![]() What Is The Nth Derivative Of Tan 1 2x 1 X 2 Quora | ![]() What Is The Nth Derivative Of Tan 1 2x 1 X 2 Quora |
![]() What Is The Nth Derivative Of Tan 1 2x 1 X 2 Quora | ![]() What Is The Nth Derivative Of Tan 1 2x 1 X 2 Quora | What Is The Nth Derivative Of Tan 1 2x 1 X 2 Quora |
![]() What Is The Nth Derivative Of Tan 1 2x 1 X 2 Quora | ![]() What Is The Nth Derivative Of Tan 1 2x 1 X 2 Quora | What Is The Nth Derivative Of Tan 1 2x 1 X 2 Quora |
「Derivative of tan 2x by first principle」の画像ギャラリー、詳細は各画像をクリックしてください。
![]() What Is The Nth Derivative Of Tan 1 2x 1 X 2 Quora | ![]() What Is The Nth Derivative Of Tan 1 2x 1 X 2 Quora | ![]() What Is The Nth Derivative Of Tan 1 2x 1 X 2 Quora |
What Is The Nth Derivative Of Tan 1 2x 1 X 2 Quora | ![]() What Is The Nth Derivative Of Tan 1 2x 1 X 2 Quora | ![]() What Is The Nth Derivative Of Tan 1 2x 1 X 2 Quora |
![]() What Is The Nth Derivative Of Tan 1 2x 1 X 2 Quora | ![]() What Is The Nth Derivative Of Tan 1 2x 1 X 2 Quora | ![]() What Is The Nth Derivative Of Tan 1 2x 1 X 2 Quora |
「Derivative of tan 2x by first principle」の画像ギャラリー、詳細は各画像をクリックしてください。
![]() What Is The Nth Derivative Of Tan 1 2x 1 X 2 Quora | What Is The Nth Derivative Of Tan 1 2x 1 X 2 Quora | ![]() What Is The Nth Derivative Of Tan 1 2x 1 X 2 Quora |
What Is The Nth Derivative Of Tan 1 2x 1 X 2 Quora | What Is The Nth Derivative Of Tan 1 2x 1 X 2 Quora | What Is The Nth Derivative Of Tan 1 2x 1 X 2 Quora |
![]() What Is The Nth Derivative Of Tan 1 2x 1 X 2 Quora | ![]() What Is The Nth Derivative Of Tan 1 2x 1 X 2 Quora | What Is The Nth Derivative Of Tan 1 2x 1 X 2 Quora |
「Derivative of tan 2x by first principle」の画像ギャラリー、詳細は各画像をクリックしてください。
What Is The Nth Derivative Of Tan 1 2x 1 X 2 Quora | What Is The Nth Derivative Of Tan 1 2x 1 X 2 Quora | ![]() What Is The Nth Derivative Of Tan 1 2x 1 X 2 Quora |
![]() What Is The Nth Derivative Of Tan 1 2x 1 X 2 Quora | ![]() What Is The Nth Derivative Of Tan 1 2x 1 X 2 Quora | ![]() What Is The Nth Derivative Of Tan 1 2x 1 X 2 Quora |
![]() What Is The Nth Derivative Of Tan 1 2x 1 X 2 Quora | ![]() What Is The Nth Derivative Of Tan 1 2x 1 X 2 Quora | ![]() What Is The Nth Derivative Of Tan 1 2x 1 X 2 Quora |
「Derivative of tan 2x by first principle」の画像ギャラリー、詳細は各画像をクリックしてください。
What Is The Nth Derivative Of Tan 1 2x 1 X 2 Quora | ![]() What Is The Nth Derivative Of Tan 1 2x 1 X 2 Quora | ![]() What Is The Nth Derivative Of Tan 1 2x 1 X 2 Quora |
What Is The Nth Derivative Of Tan 1 2x 1 X 2 Quora | ![]() What Is The Nth Derivative Of Tan 1 2x 1 X 2 Quora | What Is The Nth Derivative Of Tan 1 2x 1 X 2 Quora |
![]() What Is The Nth Derivative Of Tan 1 2x 1 X 2 Quora | ![]() What Is The Nth Derivative Of Tan 1 2x 1 X 2 Quora | ![]() What Is The Nth Derivative Of Tan 1 2x 1 X 2 Quora |
「Derivative of tan 2x by first principle」の画像ギャラリー、詳細は各画像をクリックしてください。
What Is The Nth Derivative Of Tan 1 2x 1 X 2 Quora | ![]() What Is The Nth Derivative Of Tan 1 2x 1 X 2 Quora | ![]() What Is The Nth Derivative Of Tan 1 2x 1 X 2 Quora |
![]() What Is The Nth Derivative Of Tan 1 2x 1 X 2 Quora | ![]() What Is The Nth Derivative Of Tan 1 2x 1 X 2 Quora | What Is The Nth Derivative Of Tan 1 2x 1 X 2 Quora |
![]() What Is The Nth Derivative Of Tan 1 2x 1 X 2 Quora | ![]() What Is The Nth Derivative Of Tan 1 2x 1 X 2 Quora | ![]() What Is The Nth Derivative Of Tan 1 2x 1 X 2 Quora |
「Derivative of tan 2x by first principle」の画像ギャラリー、詳細は各画像をクリックしてください。
![]() What Is The Nth Derivative Of Tan 1 2x 1 X 2 Quora | ![]() What Is The Nth Derivative Of Tan 1 2x 1 X 2 Quora | ![]() What Is The Nth Derivative Of Tan 1 2x 1 X 2 Quora |
![]() What Is The Nth Derivative Of Tan 1 2x 1 X 2 Quora | ![]() What Is The Nth Derivative Of Tan 1 2x 1 X 2 Quora | What Is The Nth Derivative Of Tan 1 2x 1 X 2 Quora |
![]() What Is The Nth Derivative Of Tan 1 2x 1 X 2 Quora | ![]() What Is The Nth Derivative Of Tan 1 2x 1 X 2 Quora | ![]() What Is The Nth Derivative Of Tan 1 2x 1 X 2 Quora |
「Derivative of tan 2x by first principle」の画像ギャラリー、詳細は各画像をクリックしてください。
What Is The Nth Derivative Of Tan 1 2x 1 X 2 Quora | ![]() What Is The Nth Derivative Of Tan 1 2x 1 X 2 Quora | ![]() What Is The Nth Derivative Of Tan 1 2x 1 X 2 Quora |
![]() What Is The Nth Derivative Of Tan 1 2x 1 X 2 Quora | ![]() What Is The Nth Derivative Of Tan 1 2x 1 X 2 Quora | What Is The Nth Derivative Of Tan 1 2x 1 X 2 Quora |
What Is The Nth Derivative Of Tan 1 2x 1 X 2 Quora | ![]() What Is The Nth Derivative Of Tan 1 2x 1 X 2 Quora | ![]() What Is The Nth Derivative Of Tan 1 2x 1 X 2 Quora |
「Derivative of tan 2x by first principle」の画像ギャラリー、詳細は各画像をクリックしてください。
What Is The Nth Derivative Of Tan 1 2x 1 X 2 Quora | What Is The Nth Derivative Of Tan 1 2x 1 X 2 Quora | What Is The Nth Derivative Of Tan 1 2x 1 X 2 Quora |
What Is The Nth Derivative Of Tan 1 2x 1 X 2 Quora | ![]() What Is The Nth Derivative Of Tan 1 2x 1 X 2 Quora |
𝑥 ≥ 0 fMean1 Inform you about time table of exam 2 Inform you about new question papers 3 New video tutorials information
Incoming Term: derivative of tan 1 x, derivative of tan 2 x, find the derivative of x2 tan x, derivative of sin x tan x, what is the derivative of tan 2x, tan 3 x derivative, derivative of tan y, derivative of sec 2x tan x, x tan x derivative, derivative of tan 2x by first principle, derivative of sec 2x tan 2x, derivative of tan 4 x,










































































0 件のコメント:
コメントを投稿